Chapter 14 - Sound


  • Sound
  • Music
  • Pythagorean harmony
  • Intensity
  • Timbre
  • Strings and pipes
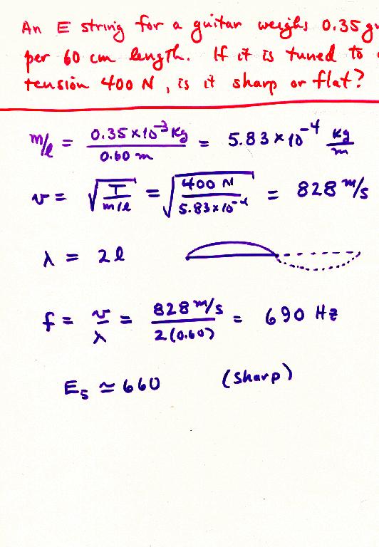
  • Application
  • Moving observer
  • Moving source
  • Doppler shift
  • Forced oscillation


  • Return to Homepage
    Go to Chapter 1;   Go to Chapter 2;   Go to Chapter 3
    Go to Chapter 4;   Go to Chapter 5;   Go to Chapter 6
    Go to Chapter 7;   Go to Chapter 8;   Go to Chapter 9
    Go to Chapter 10;   Go to Chapter 11;   Go to Chapter 12
    Go to Chapter 13