Chapter 5 - Work and Energy


  • Force law rework
  • Energy formulation
  • From easy to easy through hard
  • Scalar nature
  • Difference in PE only
  • Skiing
  • Jumping
  • Rebounding
  • PE and KE
  • Inclined plane
  • PE of a spring
  • Oscillations
  • Probability formulation
  • Strobed time exposure
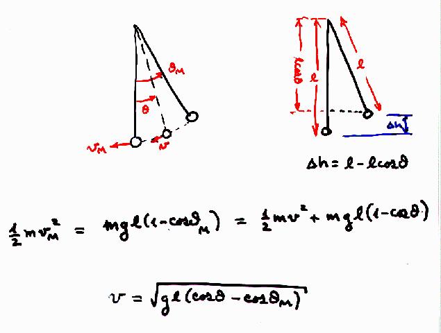
  • Pendulum


  • Return to Homepage
    Go to Chapter 1
    Go to Chapter 2
    Go to Chapter 3
    Go to Chapter 4
    Go to Chapter 6
    Go to Chapter 7