Chapter 7 - Circular Motion


  • Rigid body rotation
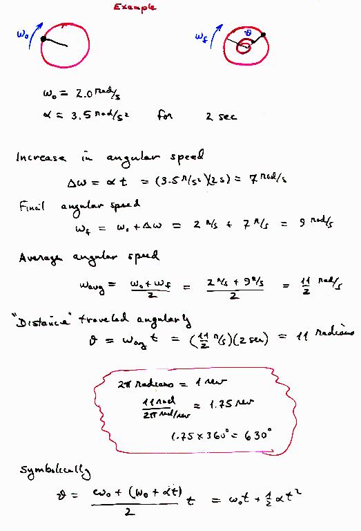
  • Example
  • Circular motion
  • Centripetal acceleration
  • Turning with friction
  • Turning with banking
  • Roller coasters
  • Loop the loop
  • Acceleration on the earth's surface
  • The direction of "down"
  • Weightlessness
  • Newton and the apple
  • The Earth-Moon gravitational force
  • Kepler's Law
  • Potential energy
  • PE near the earth


  • Return to Homepage
    Go to Chapter 1
    Go to Chapter 2
    Go to Chapter 3
    Go to Chapter 4
    Go to Chapter 5
    Go to Chapter 6