Chapter 8 - Rotational Statics and Dynamics


  • Non-concurrent forces
  • Torques
  • Truck loading
  • Painter's scaffold
  • Ladder
  • Center-of-gravity
  • Rotational Newton's law
  • Moments of inertia
  • Examples
  • Physical pendulum
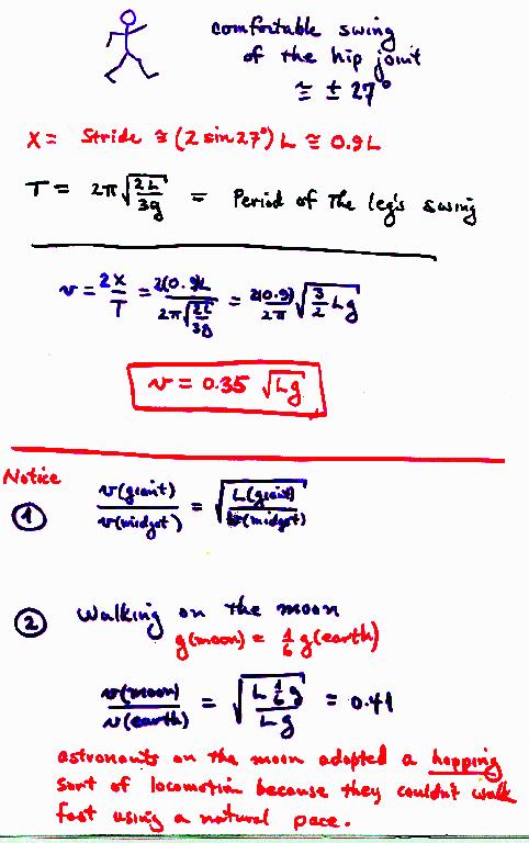
  • Using gravity to walk
  • Billiards
  • Billiards Applet
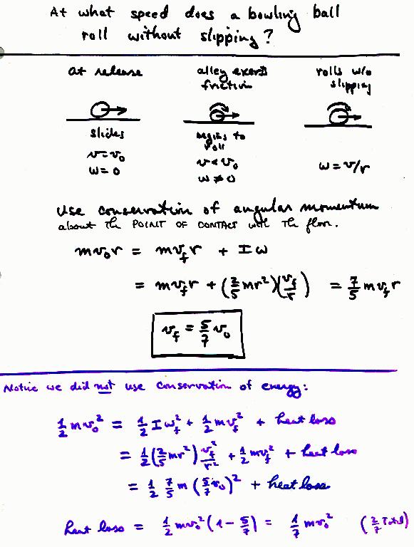
  • Bowling
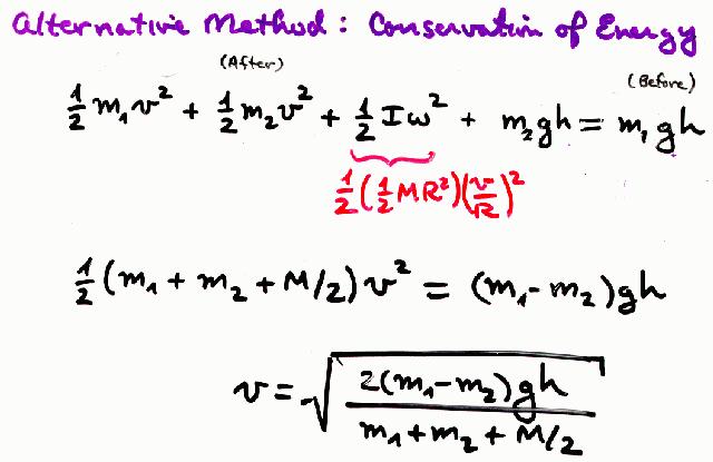
  • Pulley with mass
  • - by energy conservation
  • Objects roll down a hill
  • - by energy conservation


  • Return to Homepage
    Go to Chapter 1
    Go to Chapter 2
    Go to Chapter 3
    Go to Chapter 4
    Go to Chapter 5
    Go to Chapter 6