Chapter 4 - Laws of Motion


  • The origin of forces
  • Separating interactions into forces
  • Mach's Principle
  • Example of a strong electromagnetic force
  • Axiomato Sive Leges Motus
  • Free body diagrams
  • Static equilibrium
  • Train couplers
  • 2-mass pulley
  • Principle of Equivalence
  • Frictional mass and pulley
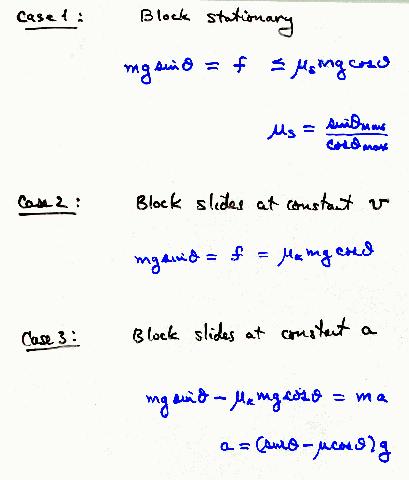
  • Inclined plane
  • 3 cases
  • Dragster
  • Acceleration
  • 3 ways
  • Armstrong's suggestion


  • Return to Homepage
    Go to Chapter 1
    Go to Chapter 2
    Go to Chapter 3
    Go to Chapter 5
    Go to Chapter 6
    Go to Chapter 7