Chapter 4 - The World of Atoms
The discrete colors of light

  What seems like black and white drabness,
  can reveal hidden beauty sublime;
  one needs only to look at it deeply,
  and see it one part at a time.




I. Dispersion

Refraction and reflection

  • Snell's law & Fermat's principle
  • Refraction through objects
  • Prism dispersion
  • Total internal reflection

    Applications in nature

  • Dispersion in nature
  • Dispersion by spheres
  • Parhelia
  • Sun dog, Fargo
  • Sun dog
  • Upside down
  • Red sunsets & the green flash

  • Diffraction gratings
  • II. Radiation from a Heated Solid or Plasma

  • Stefan-Boltzmann law & Wien Displacement
  • Applet
  • Optical pyrometer
  • Ear thermometers
  • Residue from the Big Bang

    Historic rôle in Quantum Theory

  • Intensity vs wavelength & temperature
  • Rayleigh-Jeans, Wien, & Planck
  • Planck: right mathematics, wrong picture
  • Conceptual solution
  • Planck's approach
  • Discrete sums
  • Euclid's theorem
  • Al-jebr

  • Einstein formulation
  • Planck's doubts
         Einstein's 1917 paper
         Physics Today article
  • Applications

  • Power from the Sun
  • Radiation from the Earth
  • Svante Arrhenius
  • A solar collector

  • 2.7 degree BBrad
  • Dave Wilkinson
  • Alpher, Bethe & Gamow
  • Big Bang microwave residue

  • Lagrange points (ppt)
  • WMAP
        Lagrange points (gif)
        Animation (mpg)
  • SOHO
  • Details

    Physiological color

  • Continuous, line, & absorption spectra
  • "Primary" colors
  • Minimizing confusion
  • Color confusion

  • III. Light from a heated gas

  • Wave packets of high Rydberg states
  • Animation
  • Whole number of heartbeats per cycle
  • Newton's "Phænomena of colour"

  • Newton's experiments
  • Take apart and put together again
  • The circular hole misfortune, Wollaston, Fraunhofer
  • Nanoparticles instead of chemical dyes
  • History: Atomic light sources

  • Emission and absorption spectra
  • Radiative jumps
  • Solar spectrum

  • First observations of dispersed light
  • Melvill's 1752 paper: cf 243 (+13 bottom)
  • Melvill
  • Wollaston
  • Kirchhoff & Bunsen
  • Stellar absorption spectra
  • Comte
  • Comte bio
  • Measurement of Kirchhoff & Bunsen
  • Bunsen & Mendeleev

  • History of astronomical spectroscopy
  • Anders Jonas Ångström
  • The 99.987 cm meterstick
  • Spectra of various neutral atoms
  • IV. Atomic Structure

    Rydberg atoms

    Balmer's formula for hydrogen

  • Johann Jacob Balmer
  • Data for H in the visible
  • Balmer's formula
  • Balmer's plot of Ångström's data?
  • Integer ratios
  • Balmer's plot revisited
  • Figure

    Rydberg's formula for complex atoms

  • Extensions by Rydberg and Ritz
  • Rydberg's seminar
  • Rydberg sketch
  • "Janne Rydberg, his life and work" (Bio.)

    Laporte's Rule

  • The various Balmer series
  • Grotrian diagram of hydrogen
  • Filled inner shells
  • Parity conservation
  • Wave functions as shoes and socks
  • Otto Laporte
  • Photo
  • Grotrian example
  • "Forbidden" transitions

    Handedness in Nature

  • Whelks
  • Alice through the looking glass
  • Chirality and stereochemistry
  • The Weak Interaction acts predominently on left-handed particles
  • Chien-Shiung Wu

    The art of classical spectroscopy

  • Percy Risberg's plates, 1956
  • Na I system
  • Measured wavelengths
  • Closing the loop

    Complex atoms & the hydrogen template

  • Filled inner shells
  • Grotrian diagrams of hydrogen, lithium, sodium
  • Quantum defect values
  • Yr, yrare, yrast
  • Quantum defect & ionization energy
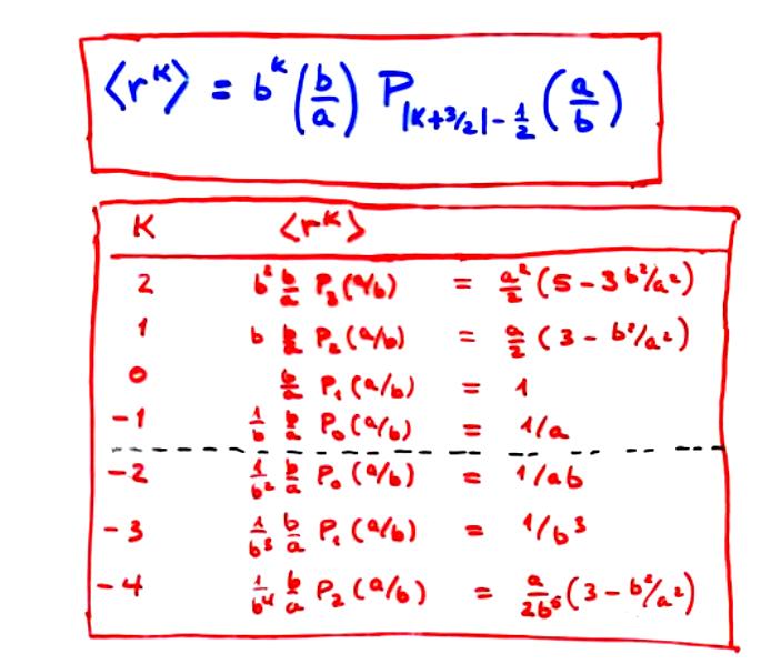
  • Small corrections with reciprocal powers of r
  • Connection with quantum defect
  • Binomial series for a small correction

    Kepler's laws

  • Tycho Brahe & Johannes Kepler
  • Kepler animation
  • Constancy of mechanical ACTION
  • Kepler's 3 laws

    Dwell time formulation

  • Kepler in probabilities
  • Conservation laws give dwell time
  • Classical dwell time probabilities
  • Gravitational s-state: Halley dwell time

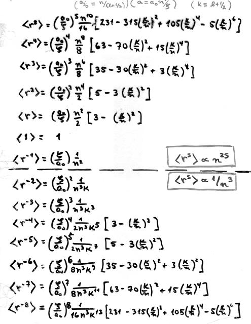
  • Perturbations as powers of r
  • Rydberg atom with power law corrections

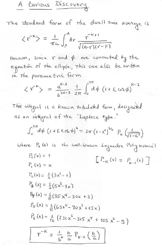
    Exact general expression

  • Integral for avg values
  • Formula for avg powers of r
  • More extensively
  • Fully quantum mechanical

    Quantization

  • Semiclassical quantization
  • Sommerfeld and Caustics
  • EBK quantization
  • Quantization of action
  • Latitudinal turning points

    NOTE: QUIZ MONDAY 26 OCTOBER 2009
  • Review

  • Classical dwell time
  • EBK quantization
  • Dwell time with action beads

    Orbital addresses & road maps

  • The speed of darkness
  • Quantum numbers
  • Hydrogen stationary states
  • Hydrogen addresses in mutlielectron atoms
  • EBK orbits, n=1,2,3
  • EBK orbits, n=4

    Radial dwell times

  • Ψ2(1s), Ψ2(2s), Ψ2(2p)
  • Ψ2(3s), Ψ2(3p), Ψ2(3d)
  • Ψ2(n=40,  l=20)

    Spatial dwell times

  • L shell
  • n=1-3 shells & subshells

    Molecular orbitals

  • Chemistry notes
  • pp and sp bonding
  • Water, ammonia and methane
  • sp hybrids

  • Caltrops
  • continued
  • Greenhouse tetrahedrons
  • Central angle of a tetrahedron
  • Lee

    Self-symmetry of atoms & galaxies?

  • Morphologies
  • Eta Carina
  • More morphologies
  • High res
  • Crash
  • Yet another morphology
  • Denomination

    V. Quantum defect formulation

  • Energies of photons emitted
  • Balmer, Rydberg, Ritz
  • Grotrian diagrams
  • Parametization
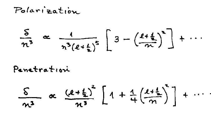
  • Core penetration
  • Core polarization
  • Locking in the moon
  • Rydberg series - same l, increasing n
  • Penetration n-dependence
  • Polarization n-dependence
         dt shift
  • Predicted slopes

  • Reducing measurements to mapping parameters
  • Mapping for Na np
  • Quantum defect plot
  • Smooth and extrapolate
  • Quantum defect on both sides?
  • Search for ionization limit

  • Application to Mg+ and Ca+
  • Ritz expansions

  • Parametization
  • Polarization & penetration
  • Quantum defect as fctn of n for various l
  • Screening doublets & high Rydberg levels
  • Penetration & polarization
  • Orbits in nd Rydberg series

    Non-penetrating high Rydberg states & the polarization model

  • Low-lying low l Rydberg series
  • High n, l yrast & yrare levels
  • Stark quenching
  • Fast-ion beam methods
  • Vacuum
  • Laboratory facility
  • Multiplexed spectrum
  • Subtracting off the hydrogen part
  • Powers of r
  • Polarizabilities from intercept & slope

  • Ed Chang
  • Calculations
  • Solar chromosphere
  • f-values

  • Polarizabilities & lifetimes
  • Cancellation
  • RESIS
  • Invert the process
  • Erica


  • Chapter 5











    Quotes
  • Einstein on light
  • Feynman & nanotechnology
  • Feynman on light

















    VI. Buildup of the periodic table

  • Ca+ Grotrian diagram
  • Expanded

  • The Pauli exclusion principle
  • Not a force

  • Periodic table
  • Subshell-filling periods
  • Penetration of s orbitals
  • Inert gases, alkali metals, ferromagnets
  • Magnetism on the halfshell
  • Fermi exclusion and Bose condensation
  • Rare earth phosphors, permanent magnets,etc.
  • Rare earth permanent magnets
  • Ytterby and phosphors

  • Mendeleev
  • Summary





    VII. Semiconductor devices

  • s and p distributions
  • sp hybridization
  • s2p2 bonds
  • Extrinsic semiconductors
  • Enter Hyperphysics (click: Condensed Matter; Solid State Electronics
  • Doped silicon (click P amd N type Materials)
  • Junction Diodes (click P-N Junction, forward/reverse bias)
  • Junction transistor (click transistors)
  • The junction diode