My name is Thomas Lai(賴劭愉). I am a Ph.D student at the University of Toledo, working with Prof. JD Smith and Prof. Adolf Witt on the behavior of dust grains in the interstellar space. I received my bachelor degree in Space Science & Engineering from National Central University, Taiwan. Later on, I figured objects in the distant Universe attracted me more, leading me to switch field from space science to astronomy. Before coming to the US, I worked as a research assistant with Ciska Kemper at ASIAA, where I found my interest in studying the interstellar medium.
Thomas Lai
2801 W. Bancroft St.
Toledo, OH 43606 US
shaoyu.lai AT utoledo.edu
I am interested in understanding the properties of the dust grains in the interstellar space. How do those grains form? How do they get destroyed? How can they survive in the harsh interstellar environment? We know that interstellar dust grains in galaxies absorb energy from starlight and reradiate at optical and infrared (IR) wavelengths. Almost half of all the non-primordial radiation in the Universe has gone through such re-emitting process. Thus dust plays an integral role in galaxy evolution and star formation, regulating the flow of radiative energy across the galaxies.
In particular, my research has been focusing on the behaviors of the small dust grains by studying spectra from polycyclic aromatic hydrocarbons (PAHs), extended red emission (ERE), and diffuse interstellar bands (DIBs). One key question yet to be answered about these small interstellar grains is: how do these small and fragile particles survive in such harsh UV radiation fields near sites of star-formation. To address this issue, I performed a detailed investigation of a sample of 437 extragalactic objects with complete spectral coverage from 2.5—38 μm drawn from an exhaustive cross-archival match between the AKARI IRC point source catalog and the Infrared Database of Extragalactic Observables from Spitzer (IDEOS) catalog. My main focus is on the 3.3 µm PAH emission since among all the other PAH bands, it serves as the best tracer of the smallest grains.
I also worked on the DIBs and ERE. Both of these two phenomena share a common mystery: even though they have been observed for decades and extensive research had been conducted, the carriers of these two interstellar phenomena are still unidentified. In the past, DIBs and ERE were being studied separately. But in my study, I discovered they have quite a lot of properties in common, making us to wonder whether they shared similar origin.
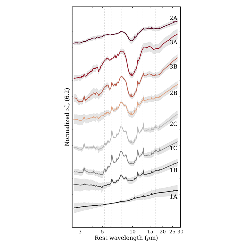
I am the builder of the AKARI-Spitzer Extragalactic Spectral Survey (ASESS), which consists of 378 extragalactic objects with wavelength coverage ranging from 2.5-38 µm. This catalog is drawn from an exhaustive cross-archival comparison between the AKARI Infrared Camera point source catalog and the Infrared Database of Extragalactic Observables from Spitzer (IDEOS) catalog. The above shows a set of template spectra created by averaging the galaxies in our sample, with the classification following: Spoon et al. (2007)
The combined spectrum of II Zw 40, a prototypical blue compact dwarf (BCD), containing a super star cluster and dominated by a giant HII region. The fact that the 3.3 µm PAH emission can be readily detected in such a hostile and low metallicity environment is surprising. Small grains may not be as fragile as we expected.
ISM, PAH
The mid-infrared (MIR) spectrum of galaxies provides a wealthy inventory of various rich features, including emission lines and absorption features that governed by the dust and gas in their interstellar medium (ISM). To characterize the properties of these emission/absorption features, We modified PAHFIT, a mid-infrared (MIR) spectral decomposition tool, to enable it to fit spectra down to 2.5 µm.
DIBs are a set of ubiquitous absorption features, which have been observed towards stars and galaxies with intervening ISM. It was suggested that both the ERE and DIBs are of common origin, and in our paper (Lai et al. 2020), we found evidence to support this hypothesis. For the first time, we are able to detect DIBs from the line of sight towards the reflection nebula where the peak emission of ERE resides. We further found that DIB 4428 seen through the PDR of IC 63 is exceptionally strong and wide compared to normal lines of sight through the typical diffuse ISM. This implies that DIB carriers survive in environments where the UV radiation field is several hundred times stronger than in normal interstellar space.
The above figure shows the fitted Lorentzian profiles of our DIB4428 observations together with the Cyg OB2 association measurements by Snow et al. 2002. The sightline towards star #46 in IC63 (red), where we simultaneously observed DIBs and ERE, shows the broadest absorption feature among all.
ERE, DIBs
We analyzed new wide-field, wide- and narrow-band optical images of IC 59 and IC 63, two nebulae which are externally illuminated by the early B-star γ Cas, with the objective of mapping the extended red emission (ERE), a dust-related photoluminescence process that is still poorly understood, in these two clouds. The spatial distribution of the ERE relative to the direction of the incident radiation and relative to other emission processes, whose carriers and excitation requirements are known, provides important constraints on the excitation of the ERE.
The project that I worked on as a Keck Visiting Scholar. Please find the latest DEIMOS throughput curves from: https://www2.keck.hawaii.edu/inst/deimos/ripisc.html
Keck/DEIMOSIn my leisure time I enjoy hiking and photographing. Here are some photos that I took at places that I have been to in the past.