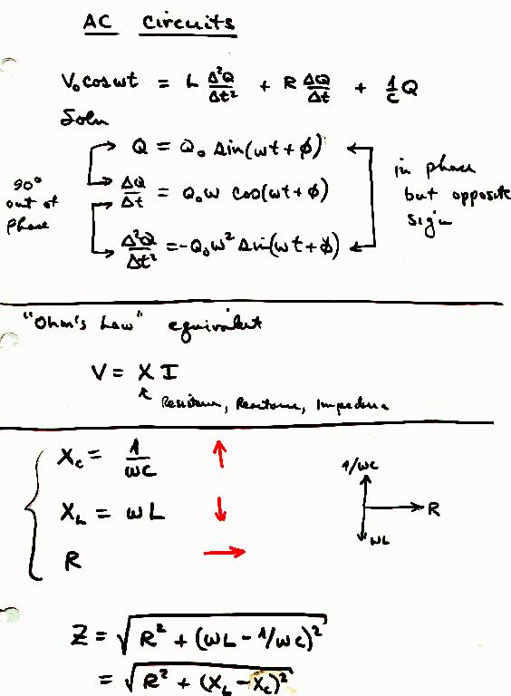
Chapter 21 - AC Circuits


Charge, current, current change
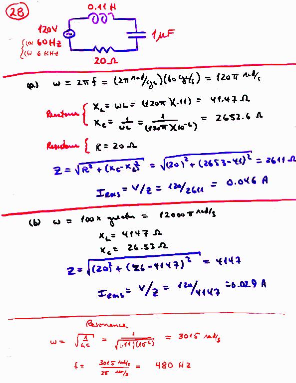
Resistance, reactance, impedence
Resonance