Electrostatic Potentials

Dipole equipotentials
Closeup
Two charges
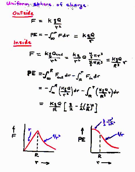
Potential of a solid sphere of charge
Conservation of energy