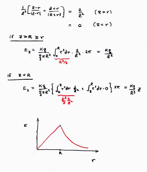
Gauss's Law

Newton's Integral
Solution
Volume element