Capacitance & Energy Storage

Charging
Hazards
Energy stored
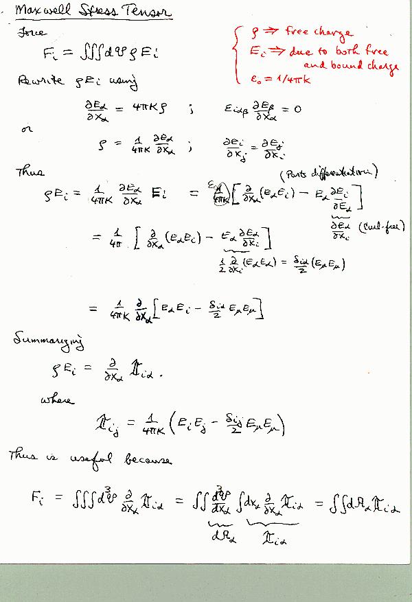
Electromagnetic momentum
Maxwell stress tensor
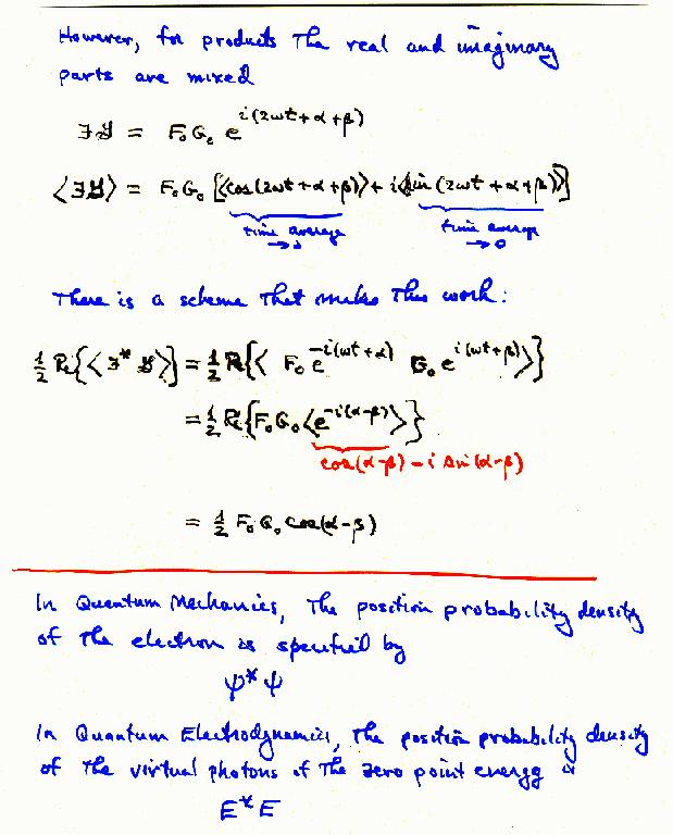
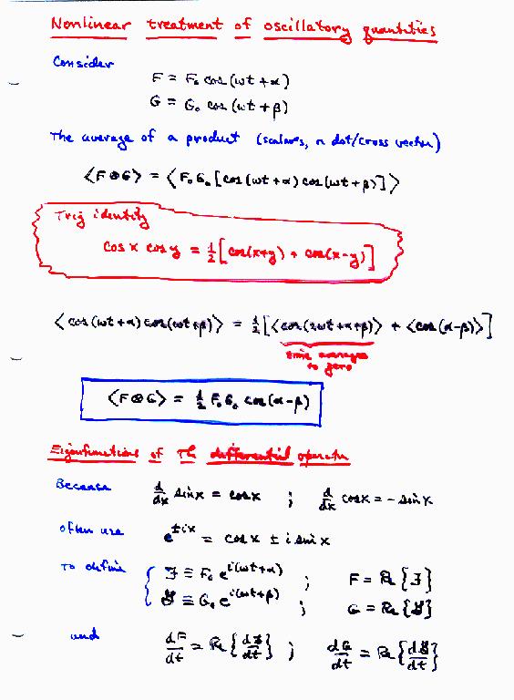
Complex notation
Real{E* E} as a position probability density
Psi* Psi as a SHO position probability density