Chapter 12: ELECTRIC CURRENTS


  • Water metaphor
  • Gravitational analogy

    Model for current flow

  • Current flow
  • Drift and thermal speeds
  • Fermi speeds
  • Combined motions
  • Acceleration between collisions
  • Viscous drag
  • Ohm's Law
  • Mean free path and collision time
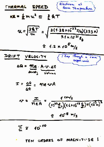
  • Drift speed
  • Relativistic speed?
  • Magnetic fields and relativity
  • Ohm's law and thermal conductivity
  • The Maxwell-Boltzmann Wiedemann-Franz Law
  • The Fermi-Dirac Wiedemann-Franz Law
  • Capacitors and Resistors

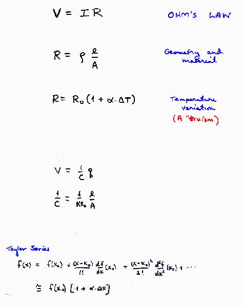
    P208 - Ohm's Law

    Current flow
    Gravitational analogy
    Capacitors and Resistors
    Ohm's law, geometry, temperature
    Power
    Light bulbs

    Microscopic model for resistance
    Thermal and drift speeds
    Combined motions
    Acceleration between collisions
    Viscous drag
    Ohm's Law
    Thermal conductivity & the Wiedemann-Franz Law

    Most interesting electrical materials don't obey Ohm's law
    Superconductors
    Bose condensation
    Semiconductors