Chapter 24 - Interference


Coherence
Double slit pattern
Problem 22-5
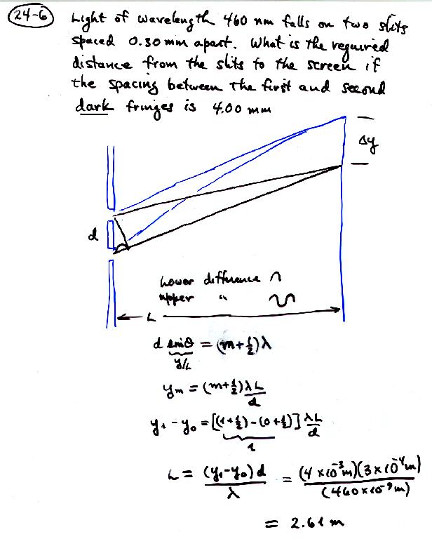
Problem 22-6
Single particle detection
Single slit pattern