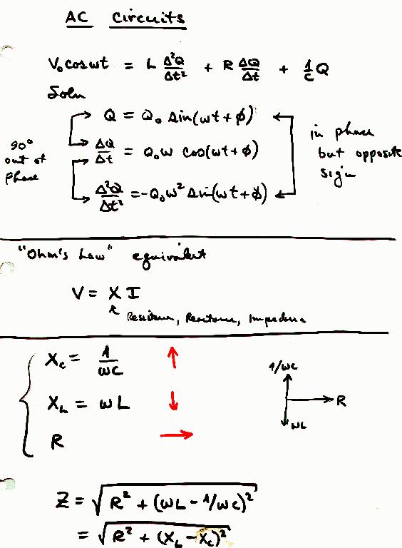
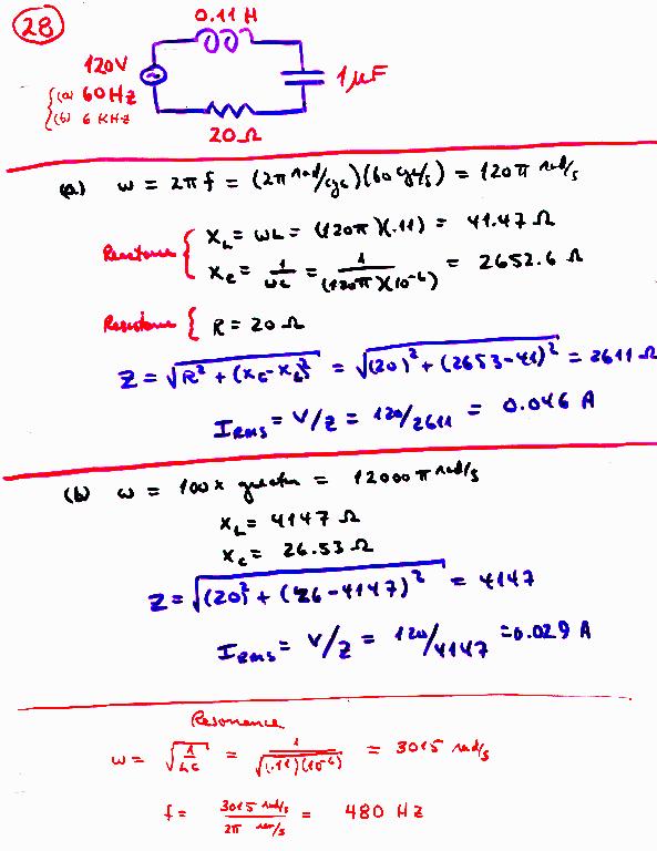
Chapter 21 - AC Circuits


Charge, current, current change
Resistance, reactance, impedence
Resonance