Chapter 19 - Magnetism



Electrodynamics
Contraction in a current carrying wire
Formulation in terms of hand rules
Torque on a current loop
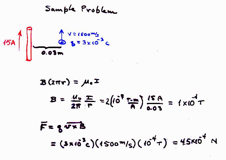
Sample problem
Ampere's Law
CW and CCW loops