Chapter 17 - Ohm's Law

Current flow
Gravitational analogy
Capacitors and Resistors
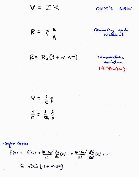
Ohm's law, geometry, temperature
Power
Light bulbs

Microscopic model for resistance
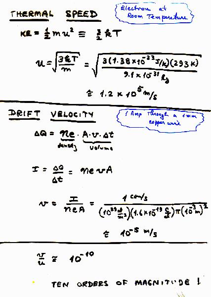
Thermal and drift speeds
Combined motions
Acceleration between collisions
Viscous drag
Ohm's Law
Thermal conductivity & the Wiedemann-Franz Law

Most interesting electrical materials don't obey Ohm's law
Superconductors
Bose condensation
Semiconductors