Chapter 16 - Potential, Capacitance & Energy Storage



Electrostatic potential
Electric and gravitational PE
Work done with inverse square force law
Scalar addition
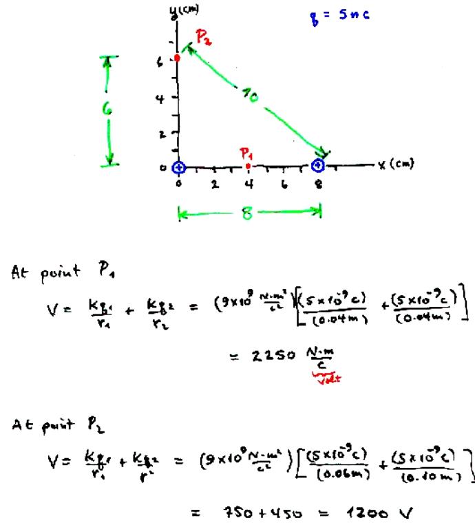
Example

Capacitance
Charging
Hazards
Energy stored
Geometry
Series and parallel
Exercise