Rydberg-Ritz Reduction Example

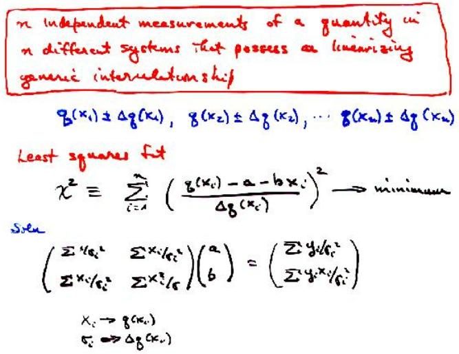
  • Raw data
  • Least squares
  • Program
  • Plot of results