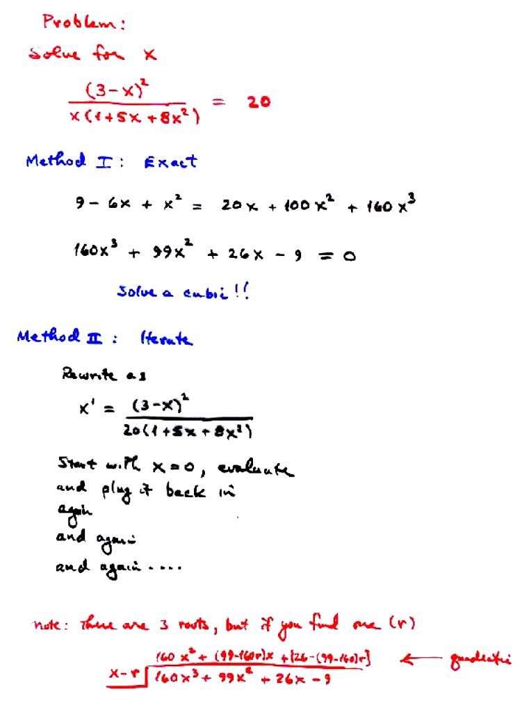
Iteration Example

  • Problem statement
  • Programmed solution
  • Plot of solution
  • Plot of averaged solution