FINAL EXAM - Fall 2007


Examination Questions

Solution to question #1
Solution to question #2
Solution to question #3
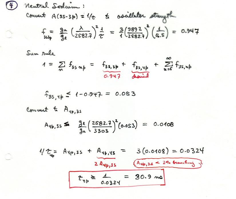
Solution to question #4
Solution to question #5